
New AI Visibility Awards spotlight brands thriving in AI-generated search results
As AI chatbots become the go-to tools for travel planning, product…

Google adds location targeting controls to Demand Gen campaigns
Google Ads is rolling out new location targeting options for…

AI Overview fan-out rankings boost citation odds by 161%: Study
Pages that rank for Google’s AI Overview “fan-out” queries…

Google explains JavaScript execution on non-200 HTTP status codes
Google made another change to the JavaScript SEO documentation…

OpenAI dévoile son App Directory et transforme ChatGPT en plateforme applicative universelle
OpenAI vient de franchir un cap décisif dans l'évolution de…

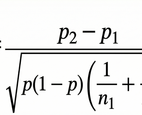
How Bayesian testing lets Google measure incrementality with $5,000
Incrementality testing in Google Ads is suddenly within reach…

Apple will add more App Store search ads
Apple plans to introduce additional ads within App Store search…

Who Benefits When The Line Between SEO And GEO Is Blurred via @sejournal, @DuaneForrester
SEO still matters, but Duane Forrester explains how answer-driven…

SERP analyse technique : comment lire les signaux concurrentiels au-delà du volume de recherche
Article sponsorisé par BluetimePendant longtemps, l’analyse…

The Future Of Content In An AI World: Provenance & Trust In Information
Learn about the future of search AI and trust in information…

